產品介紹 | PRODUCTS
聯系我們 | CONTACT US
- 內貿部:18953701056 (劉廣臣)
- 外貿部:18063200578 (任真真)
您所在的位置首頁 >>
產品介紹 >>
有機膦系列阻垢緩蝕劑、螯合劑 >>
BHMTPMPA
產品介紹
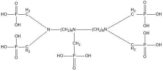
雙1,6-亞己基三胺五甲叉膦酸BHMTPMPA
Bis(Hexamethylene Triamine Penta (Methylene Phosphonic Acid))BHMTPMPA
CAS No. 34690-00-1
分子式 C17H44O15N3P5 相對分子質量:685
一、性能與用途:
BHMTPMPA是高效的螯合型阻垢劑,對碳酸鹽垢和硫酸鹽垢具有良好的阻垢效果。 BHMTPMPA在較寬的PH范圍和120℃高溫下有極佳的水溶性和熱穩定性,對鈣離子容忍度高。BHMTPMPA用作油田水處理的緩蝕阻垢劑,工業循環冷卻水和鍋爐水的阻垢緩蝕劑。
二、技術指標 符合HG/T 22591-2008
| 項 目 | 指 標 |
| GB/T 22591-2008 | |
| 外 觀 | 深琥珀色液體 |
| 活性組分/% | 45.0~50.0 |
| 亞磷酸(以PO33-計)/% | ≤3.5 |
| 氯化物(以Cl-計)/% | ≤6.0 |
| pH(1%水溶液) | ≤2.0 |
| 密度(20℃) /g·cm-3 | ≥1.20 |
| Fe含量(以Fe計) /mg·L-1 | ≤35.0 |
三、使用方法
單獨使用或與聚羧酸型阻垢分散劑配合使用。
四、包裝與貯存
BHMTPMPA用塑料桶包裝,每桶25kg或根據用戶需要確定。BHMTPMPA貯于室內陰涼處,貯存期為十二個月。
五、安全防護
BHMTPMPA為酸性,操作時注意勞動保護,應避免與皮膚、眼睛等接觸,接觸后用大量清水沖洗。
相關推薦:
BHMTPMPA
銷售熱線:0632-5113088 銷售傳真: 0632-5113155
地址:山東省棗莊市市中區十里泉東路1號 網址:http://m.mnphb.com E-mail:th@thwater.com
版權所有© :2006-2021 山東泰和科技股份有限公司 魯ICP備09091669號-43
地址:山東省棗莊市市中區十里泉東路1號 網址:http://m.mnphb.com E-mail:th@thwater.com
版權所有© :2006-2021 山東泰和科技股份有限公司 魯ICP備09091669號-43


